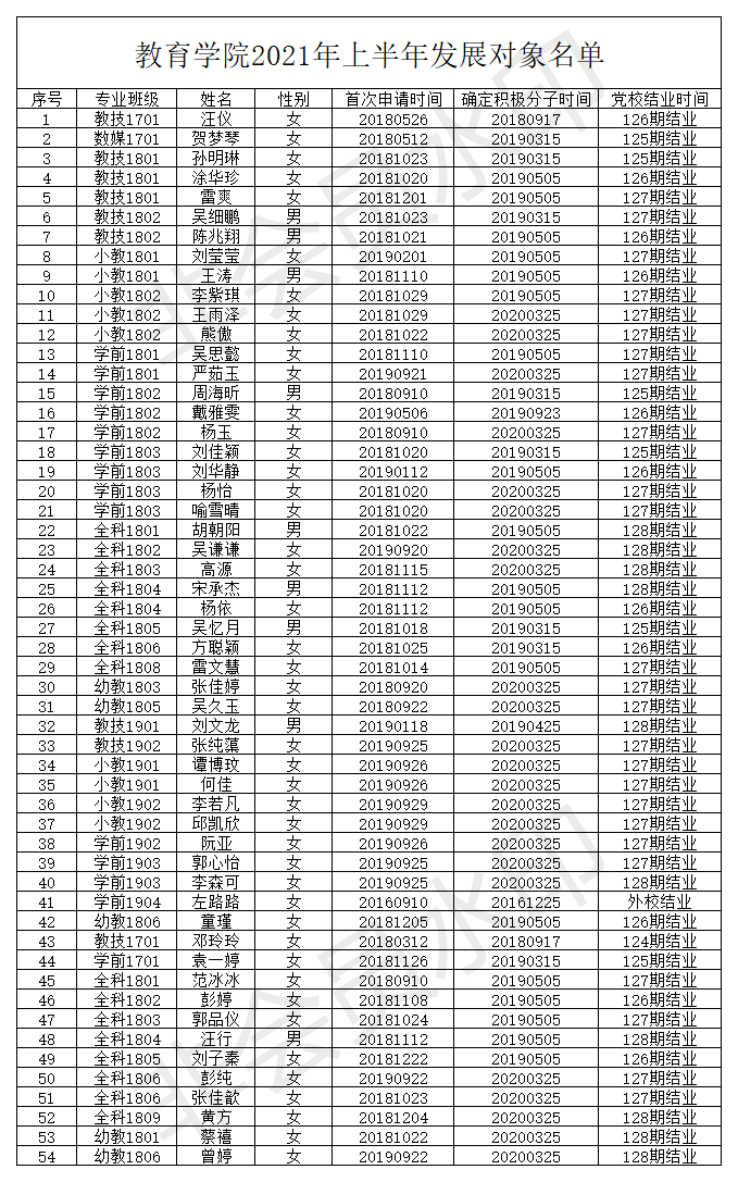
根据公司《关于做好2021年上半年发展对象确定和备案工作的通知》文件要求,经审查,公司汪仪等55名入党积极分子初步符合组织发展要求。具体名单如下:
(名单附后)
现予公示!
公示时间:2021年4月8日——2021年4月14日
公示期间,党员和群众可来电、来访,反映其在理想信念、政治立场、思想作风、工作表现、群众观念、廉洁自律等方面的情况和问题。反映问题应实事求是、客观公正。以个人名义反映问题的,提倡实名举报,以便调查核实。党支部将对反映人和反映问题严格保密,对反映问题进行调查核实,弄清事实真相,并以适当方式向反映人反馈。
联系人:公司党总支书记林永希 联系电话:0713-8833169
联系人:公司党总支副书记胡周友 联系电话:0713-8835899
联系人:公司员工党支部书记邹焱萍 联系电话:0713-8833179
中共williamhill威廉希尔官网总支部委员会
2021年4月8日
